有机肥料种子发芽指数的测定方法及步骤
新修订有机肥料标准NY/T 525-2021,添加了种子发芽指数的指标要求,数值≥70%,其种子发芽指数(GI)的测定方法如下:
1. 主要仪器和试剂
培养皿、滤纸、水,往复式水平振荡器、恒温培养箱。
2. 试验步骤
称取试样(鲜样)10.00g,置于250mL锥形瓶中,将样品含水率折算后,按照固液比(质量/体积)1:10加入100mL水,盖紧瓶盖后垂直固定于往复式水平振荡机上,调节频率100次/分,振幅不小于40mm,在25℃下振荡浸提1h,取下静置0.5h后,取上清液于预先安装好滤纸的过滤装置上过滤,收集过滤后的浸提液,摇匀后供分析用。
在9cm培养皿中放置1或2张定性滤纸,其上均匀放入10粒大小基本一致、饱满的黄瓜(或萝卜,未包衣)种子,加入供试样浸提液10mL,盖上培养皿盖,在25℃±2℃的培养箱中避光培养48h,统计发芽率和测量主根长。
以水作对照,做空白试验。
注:特殊原料可根据专家评估结果确定固液比。
3. 分析结果的表述
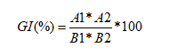
种子发芽指数(GI)按公式计算:
	
 
公式中:
A1——有机肥浸提液的种子发芽率,%;
A2——有机肥浸提液培养种子的平均根长,mm;
B1——水的种子发芽率,%;
B2——水培养种子的平均根长,mm;
4. 允许误差
取平行测定结果的算术平均值为最终分析结果,计算结果保留到小数点后一位。平行分析结果的绝对差值不大于5%。

 
